Новости металлургии 

Metaldaily.ru/Новости - 04.09.2013

Мини Металлургические Заводы. Часть 1: Секреты успеха (начало). "Русмет". 4 сентября 2013

04.09.2013 - 11:54
На фоне перепроизводства стали и слухов о возможном дефиците лома кажется нелепым обсуждать строительство новых металлургических заводов. Почему их все-таки возводят как крупные металлургические холдинги, так и не связанные с металлургией инвесторы? В чем преимущество мини-заводов и уникальность сегодняшнего момента в России? Публикации на эту тему освещают в основном производственные возможности мини-заводов. При этом упускается главное: появившиеся возможности требуют другой организации бизнеса. Цель статьи – помочь потенциальным инвесторам избежать ошибок при создании мини-заводов.

Мини-завод — иной тип бизнеса

Мини-завод — это не просто маленький завод, это другой тип бизнеса. Его отличают не только сырье, технология и продукция, но и клиенты, принципы организации производства, стратегия (табл. 1). Чтобы лучше разобраться в этом, рассмотрим два типа бизнеса подробнее.

Таблица 1. Сравнение интегрированных и мини-заводов



Интегрированные заводы (комбинаты)

Заводы этого типа появились давно. Традиционно в качестве сырья используется железная руда и уголь. Сырье переплавляют в доменной печи, получая полупродукт — чугун (рис. 1). Природное сырье обеспечивает стабильность состава и чистоту чугуна. Эта особенность очень важна, поскольку позволяет выпускать высококачественную сталь с жесткими требованиями к химическому составу.

Рис. 1. Схема производства на интегрированных и мини-заводах



Источник: G. Schabrun, Spring 2002 Macroeconomics

Вторая особенность — доменный процесс. Чем больше доменная печь, тем ниже себестоимость чугуна. Доменный процесс экономически эффективен при объемах производства свыше 3 млн т металла в год. Причем процесс не позволяет существенно изменять объемы, а тем более останавливать производство. Для пуска остановленного производства требуются дополнительные инвестиции.

Третья особенность — производство стали. Поскольку доменная печь выпускает много чугуна, то выплавляется много стали, которую нужно быстро разлить в твердые заготовки. Наиболее быстро это можно сделать, если отливать заготовки с большим сечением (рис. 2). Но такое сечение невозможно сразу переработать в конечный продукт, требуется длинная технологическая линия со значительным количеством прокатных станов и промежуточных нагревательных печей. Заготовка многократно подвергается деформации и нагреву, при этом устраняются недостатки литой структуры и металл становится однородным. Любые отклонения от заданных требований достаточно просто ликвидировать в процессе обработки стали. При такой организации производства легко управлять качеством и формировать необходимый набор свойств металла.

Рис. 2. Влияние толщины литой заготовки на конфигурацию производства и тип заводов



Источник: N. Zapuskalov, ISIJ International, 2003

Итак, чистое сырье, широкий состав технологического оборудования позволяют выпускать продукцию любого сортамента с высоким качеством и набором уникальных свойств. Комбинаты становятся неуязвимыми при условии их специализации на высококачественной продукции, которую невозможно получить другим способом.

Интегрированные заводы созданы давно и географически не привязаны к источникам сырья или потребителям, имеют свою историю, специализацию и бренд. Это глобальные игроки. Потребляют их продукцию во всем мире. При огромном потенциальном рынке наибольший интерес представляют крупные клиенты, способные обеспечить постоянную загрузку оборудования и готовые платить за высокое качество. Это клиенты, использующие сталь в качестве исходного материала, причем ее цена не так важна в сравнении с потребительскими свойствами конечной продукции (рис. 3).

Рис. 3. Доля стали в стоимости конечной продукции*



* Основная продукция интегрированных заводов обозначена синим цветом, мини-заводов — черным цветом

Источник: The Steel Industry Globalization Trends, London Metal Exchange, 2003

Предприятия конкурируют друг с другом за те свойства продукции, которые дают выигрыш конечным потребителям. Сегодня умение производить сталь, превосходящую продукцию конкурентов, является основой бизнеса. Компании ежегодно выделяют огромные средства на разработку новой стали и продукции с улучшенными свойствами (рис. 4). Для сравнения: бюджет на аналогичные цели у российских металлургических гигантов не превышает $3 млн в год.

Для управления коллективом в десятки тысяч человек и сложной технологией нужны профессиональные знания. Только высокопрофессиональные управленцы способны организовать сложный процесс производства. Без высокопрофессиональных инженеров и исследователей невозможно производить уникальную продукцию высочайшего качества и постоянно ее совершенствовать. Высокий уровень культуры производства создает хорошо подготовленный персонал. Предприятия конкурируют за лучших специалистов. Интегрированные предприятия ценны профессионализмом сотрудников.

Итак, интегрированные заводы производят эксклюзивный продукт и поставляют его в любую точку мира. Основа их бизнеса — продукт с высокой добавленной стоимостью. Основа производства — высокопрофессиональная команда, обеспечивающая эксклюзивные свойства продукции. Ключевой фактор успеха — возможность предлагать клиентам сталь с улучшенными потребительскими свойствами.

Рис. 4. Затраты на исследовательские работы крупнейших азиатских комбинатов, $ млн



Источник: N. Kawabata, Annual Report of Economic Society, Tohoku University, 2012

Мини-заводы

Сегодня под термином "мини" понимают разные компактные заводы с частичным или полным набором технологического оборудования (см. рис. 1), и условно их можно разбить на три группы.

"Усеченные" мини-заводы выпускают полупродукт (литую заготовку), не имея прокатного оборудования для производства конечной продукции.

"Передельные" мини-заводы закупают полупродукт и докатывают его до конечной продукции, то есть у них есть прокатные станы, но нет плавильного и разливочного оборудования. На базе "передельных" мини-заводов создаются металлосервисные центры.

К третьей группе относятся мини-заводы, имеющие весь комплект оборудования для переработки сырья в конечную продукцию. На заводе есть плавильное, разливочное и прокатное оборудование. Эта группа заводов наиболее распространена и представляет самый значительный интерес.

В качестве сырья обычно используется стальной лом, реже — железо прямого восстановления HBI/DRI и небольшие добавки чугуна (табл. 2). Чтобы подготовить сырье к плавке, не требуется сложное оборудование. Лом загружают в электродуговую печь, где за счет тепла электрических дуг он плавится. Процесс производства носит простой, одностадийный характер, поскольку из стального лома сразу получают жидкую сталь. Расплав отливают на машине непрерывного литья в твердые заготовки, которую затем прокатывают для получения конечной продукции.

Таблица 2. Сырье для мини-завода



* Другие цветные металлы

** Категория тяжелый лом HMS 1 (Heavy Melting Steel 1) по классификации ISRI (Institute of Scrap Recycling Industries)

Источник: WorldSteel, ГОСТ

Первое преимущество мини-заводов — гибкость в загрузке оборудования. Электродуговая печь не требует постоянной загрузки. При падении рыночного спроса на продукцию печь можно остановить. Остановка и перезапуск производства обходятся без дополнительных инвестиций. Мини-заводы экономически эффективны при объемах производства до 1 млн т готовой продукции в год. Это связано с тем, что до недавнего времени не умели строить эффективные электропечи с большим объемом производства. Кроме того, при значительных объемах возникает риск не обеспечить необходимый сбор лома и сбыт продукции.

Второе преимущество — технология отливки заготовки. В отличие от комбинатов на мини-заводах заготовки максимально приближены по размерам к готовой продукции (см. рис. 2). Это существенно упрощает и удешевляет производство, поскольку для получения конечной продукции требуется лишь небольшая финишная доработка (рис. 5), однако сужает сортамент и качество продукции. Дефекты и недостатки литой структуры сложно исправить на короткой технологической линии, что ограничивает возможности повышения качества. Поэтому потребителями заводов являются клиенты, нетребовательные к качеству, но чувствительные к цене.

Рис. 5. Толщина отливаемой заготовки существенно влияет на себестоимость производства конечной стальной полосы*



* Расчет сделан для рынка США, цена на лом принята за $195 за тонну

Источник: Castrip LLC, November, 2000

Третье преимущество — короткий технологический процесс, благодаря чему возможно быстрое выполнение заказов. Такой завод выгоден мелким, локальным потребителям, которые размещают заказы по мере необходимости. Это преимущество усиливается при расположении завода вблизи большого скопления сырья и/или потребителей готовой продукции.

Четвертое преимущество — короткий срок окупаемости инвестиций. Инвестиционная политика заводов направлена на внедрение все более компактных и дешевых способов производства. Постоянно обновлять оборудование экономически оправданно, если оно недорогое (его немного) и существенно снижает производственные расходы. Поэтому вся история мини-заводов — решение задач, как уменьшить состав оборудования и самым дешевым способом произвести продукцию.

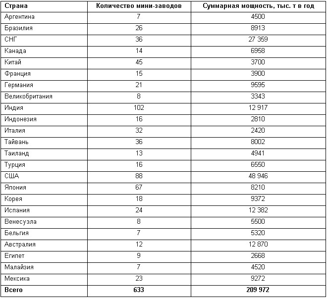
Пятое преимущество — иное отношение к подбору персонала. Мини-заводы строятся вдали от металлургических гигантов, рядом с небольшими городами или в сельской местности, где труд на 30—40% дешевле. Сотрудников набирают из местных жителей, часто не имеющих образования. Заводы, построенные в сельской местности США, в Азиатско-Тихоокеанском и других регионах (табл. 3), в которых никогда не было людей, обладающих металлургическими навыками, работают очень эффективно, используя местный персонал.

Таблица 3. Расположение основных мини-заводов



Источник: А. Смирнов "Металлургические мини-заводы", 2005 -- Русмет

Новости по этой теме

В Новости

Всего новостей  180305

ГОД:
МЕСЯЦ:
Январь Февраль Март Апрель Май Июнь Июль Август Сентябрь Октябрь Ноябрь Декабрь
Пн
Вт
Ср
Чт
Пт
Сб
Вс
4
5
11
12
18
19
21
22
23
24
25
26
27
28
29
30

Подписка на рассылку

Ежедневные новости металлургии в Вашем почтовом ящике
RSS

Информер

Ежедневно обновляющиеся заголовки 10 последних новостей металлургии на вашем сайте

все информеры >>